سهلناها

0%

وقت الإختبار 60 دقيقة

مع اطيب امنياتنا لكم بالتوفيق 

عفوا لقد انتهى الوقت المخصص للاختبار


***********

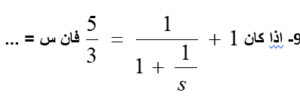
  • قطعة مستقيمة طولها 13 اذا كان احد طرفيها ( 1 ، -4 ) فان الطرف الاخر

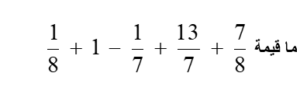
ما قيمة 1- 0.0001 =

  • خزان سعته 32م3 فتح عليه صنبوران الاول يملا 2.8 م3 /س والثاني يملا 5.2م3

في كم ساعة يملا الصنبوران الخزان اذا فتحا معا؟

  • اراد خالد ان يشتري لشركته سيارتان سعرهم 170000ريال فاذا دفع 50000 ريال واراد تقسيط الباقي بحيث يدفع 1500 ريال كل شهر كم شهر يحتاج ؟
  • اذا كان احمد يقرا 60 صفحات في 10 دقائق فكم يقرا في ساعة ونصف ؟

اذا كان ص عدد اولي كم يساوي س حيث

ص = س + 5

  • اذا كان هناك 60 قطعة من فئة الربع ريال في الحزمة الواحدة فكم ريال في 20 حزمة

 

  • أقرب عدد لـ 35 هو

اي من الاعداد التالية يساوي مجموع عددين فرديين متتاليين

اذا كانت مساحة الجزء المظلل = 18سم

اوجد قيمة ص

  • اذا كان مجموع مدعوين سعيد وسعد = 27 شخص وكان مدعوين سعيد يزيدون عن مدعوين سعد ب 9 اشخاص كم عدد مدعوين سعد ؟
  • 250% س = 1000 فان س = .......

اشتري رجل اربع سلع بمبلغ 290 ريال الثانية تزيد علي الاولي بريال والثالثة تزيد عن الثانية ب 2 ريال والرابعة تزيد عن الثالثة ب 3 ريال كم سعر السلعة الاولي ؟

  • لا اذا كان س – ص = 3 ، س ص = 15 فان س 2 +  ص 2=
  • سلك طوله 48 متر قسم الي جزاين احدهما ثلث الاخر اوجد طول الجزء الاكبر ؟
  • اربعة اشخاص خالد و رائد و احمد و وائل اشتروا جوال بـ 500 ريال فاذا دفع خالد 5 اضعاف رائد و دفع رائد نصف ما دفع كلا من احمد ووائل كم دفع رائد ؟

فستان يحتاج 3.8 متر قماش لخياطته فكم ثوب نستطيع صناعته من لفة قماش طولها 32 متر

  • اذا كانت نسبة الاول الي الثاني 3 : 5 وكان الاول يمتلك 315 ريال فكم ياخد الثاني

اذا كانت الساعة الان السادسة فكم الساعة بعد 53 ساعة ؟

المعادلة التي تحقق الشكل المقابل ؟

مستطيل بعداه 4 ، 6 ما اكبرمساحة دائرة ترسم فيه ؟

تاجر لديه 24 مسطرة ، 18 قلم ، 30 برايه ويضع في كل كيس 4 مساطر و 3 اقلام و 5برايات فكم كيس يحتاج ؟

  • طاولة دائرية طول قطرها 2م يجلس حولها 6 اشخاص اذا زاد القطر 100% فكم الاشخاص الذين يمكن ان يزيدوا ؟

اذا كان طول المستطيل يساوي ضعف عرضه وكان أ ب = 4 سم اوجد مساحه المثلث ه ب ج

  • اذا كان مساحة الجزء المظلل = 8 ما مساحة الدائرة ؟ (الجزء المظلل مثلث قائم)
  • عدد اذا قسمته علي 5 او 4 او 7 او 3 يكون بدون باقي اما اذا قسمته علي 9 يكون الباقي 6 ؟
  • تدور عجاة 5 دورات خلال 3 ثواني فكم دورة تدورها العجلة خلال دقيقة واحدة ؟

احسب المتوسط

1300 ، 1325 ، 1350 ، 1375 ، 1425 ، 1450

اكمل المتتابعة

1 ، 3 ، 7 ، 15 ، 31 ، ...............

  • خمسة اعداد متتالية كل حد يساوي ثلثي الذي يليه اذا كان اول حد 16 اوجد الحد الخامس ؟

مساحة الجزء المظلل

3 اعداد موجبة متتالية حاصل ضربهم الاول × الثاني = مجموعهم  فان العدد الثالث ؟

  • مجموع الاعداد من 1 : 200
  • قطع احمد بدارجته 35 م من السباق في 8 دقائق اذا اكمل بنفس السرعة فبعد كم دقيقة ينهي السباق اذا كانت المسافة 140 م ؟
  • يوجد 3000 طالب وطالبه في جامعة موزعين علي عدد من الكليات ونسبة الطلاب في كليتي العلوم و الادب 60% من العدد الكلي ومنهم 70% في كلية العلوم فكم عدد الطلاب في كلية العلوم ؟

اذا كان هناك رحله فيها رجال ونساء مجموعهم = 65 نسبة الرجال : النساء = 9 : 4 فان عدد الرجال

  • اشتري رجل ثلاثة دراجات الاولي بسعرها الاصلي والثانية بتخفيض 25% والثالثة بتخفيض 50% وكان مجموع ما دفعه 810 ريال فكم السعر الاصلي للدراجة ؟

مربع طول ضلعه 6 والاخر طول ضلعه 4 كما بالرسم ، احسب مساحة المظلل

  • شخص عليه دين يسدد منه اول شهر 100 ريال وكل شهر يزيد الضعف لمدة 6 اشهر فكم المبلغ المطلوب تسديده ؟
  • طاولة دائرية طول قطرها 2م يجلس حولها 6 اشخاص اذا زاد قطرها 100% فكم شخص سوف يجلس حولها ؟

ماكينه تصنع 1500 علبة حليب في ساعة و ماكينة اخري تنتج 1000 علبة حليب في ساعة اذا انتجت الاولي 1800 علبة فكم تنتج الثانية ؟

  • اذا تم تحويل 100 ريال بـ 98 درهم فكم تحتاج من الريالات لتكوين 490 درهم ؟

كم مربع في الشكل المقابل ؟

4س786314 ما هو العدد الذي اذا وضع مكان س فان العدد لايقبل القسمة علي 4

اذا كان المتوسط الحسابي الـ 6 اعداد هو 15 ومتوسط اول عددين هو 25 فكم متوسط الـ 4 اعداد المتبقية ؟

  • اذا اشترت هدي عددا من الساعات قيمتهم 18000 ريال و ربحت منهم 4500 ريال بحيث كل ساعة ربحها 225 ريال فكم ساعة اشترت هدي ؟
  • صاحبا شركة ارباحهما 32000 ريال تبرعا ب 20% من الارباح كم نصيب كل منهما ؟

- طريق طوله 100 كم قاموا بتخطيطه بحيث يكون كل خط طوله 8 متر والمسافة بين الخطين 2 م اذا كانت تكلفة تخطيط المتر الواحد نصف ريال فكم يكلف الطريق ؟

Your score is

0%

لا تحاول أخذ سكرين للصفحة, المحتوى في آمان مع جلوبال ويبس

×