سهلناها

66

وقت الإختبار 45 دقيقة

مع اطيب امنياتنا لكم بالتوفيق 

عفوا لقد انتهى الوقت المخصص للاختبار


23.الحسد واثار الفضاء . كمي

  • أ ب = أ ج , أ ج = 15 اوجد محيط المتوازى

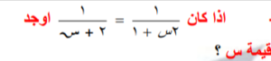
اوجد قيمة س

  • اذا كان عمر محمد 35 و عمر الاب 71 فمتى يكون عمر الاب ضعف عمر الابن بعد

رحلة بها 60 شخص نسبة الرجال الى النساء 7 : 5 اوجد عدد الرجال

قارن بين

أوجد قيمة س ؟

  • اذا كان الشكل مستطيل مساحته 80سم 2

 ومركزه م اوجد مساحة المظلل  ؟

عدد سكان دولة 15 مليون نسمة وكانت نسبة الرجال الي النساء 3 : 2  كم عدد النساء ؟

  • في الشكل المقابل مربع طول ضلعه = 4

احسب مساحة المنطقة المظللة ؟

قارن بين

  • اذا كان نصف قطر الدائرة أ هو 3

نصف قطر الدائرة ب هو 2

نصف قطر الدائرة ج هو 1

ما محيط المثلث أ ب ج ؟

  • عددين فرديين احدهم 5 امثال الاخر ومجموعهما 30 فاوجد العدد الاخر ؟
  • أقرب عدد لـ 35 هو

عدد سكان دولة 15 مليون نسمة وكانت نسبة الرجال الي النساء 3 : 2 كم عدد النساء؟

  • اذا كانت المثلثات متطابقة و كل مثلث متطابق الاضلاع وطول السلك المستقيم = 16 سم

وما محيط الشكل ؟

  • ما النسبة المئوية لـ 1 سم إلى 2 م ؟

ثمن 10 العاب هو 24 ريال فاذا بعنا 4 لعب بـ 12 ريال فكم يكون الربح في 30 لعبة

اذا حل احمد 60% من اختبار وتعتبر هذه النسبة 30 سؤال فكم تبقي ؟

  • يوجد 3000 طالب وطالبه في جامعة موزعين علي عدد من الكليات ونسبة الطلاب في كليتي العلوم و الادب 60% من العدد الكلي ومنهم 70% في كلية العلوم فكم عدد الطلاب في كلية العلوم ؟
  • اذا كان متوسط 9، 11 ، 28 ، س يساوي 15 فاوجد 9+11+28+س
  • اذا كان عدد ركاب الطائرة 720 شخص وكان نسبة الرجال الي النساء 5 : 3 اوجد عدد الرجال ؟
  • اذا تم تحويل 100 ريال بـ 98 درهم فكم تحتاج من الريالات لتكوين 490 درهم ؟
  • سعد يمكن ان يشتري 5 دفاتر وحقيبتين او 3 حقائب فما اكبر عدد من الدفاتر يمكن ان يشتري مع حقيبة واحدة ؟

اكمل المتتابعة 3 ، 10 ، 18 ، 27 ، .........

  • اذا اشترت هدي عددا من الساعات قيمتهم 18000 ريال و ربحت منهم 4500 ريال بحيث كل ساعة ربحها 225 ريال فكم ساعة اشترت هدي ؟

كم عدد المكعبات في الشكل

  • محمد يزيد عن اخته هند بـ 20 سم ومجوع طوليهما 310 اوجد طول محمد ؟
  • اوجد طول ب ج اذا كانت مساحة الشكل = 55
  • اوجد مساحة المستطيل اذا كان أ ج = 3

ب هـ = د هـ = 3 ، د هـ = ج د

  • سيارتان تمشيان في اتجاهين متعاكسين الاولي بسرعة 27 م / د والثانية بسرعة 33 م / د ما الزمن الذي استغرقاه في مشي مسافة 480 متر
  • إذا كان الشكل المقابل مربع ، وطول ضلعه 24 أوجد مساحة المربع المظلل ؟

Your score is

0%

لا تحاول أخذ سكرين للصفحة, المحتوى في آمان مع جلوبال ويبس

×